Actes du colloque - Volume 3 - page 112

1912
Proceedings of the 18t
h
International Conference on Soil Mechanics and Geotechnical Engineering, Paris 2013
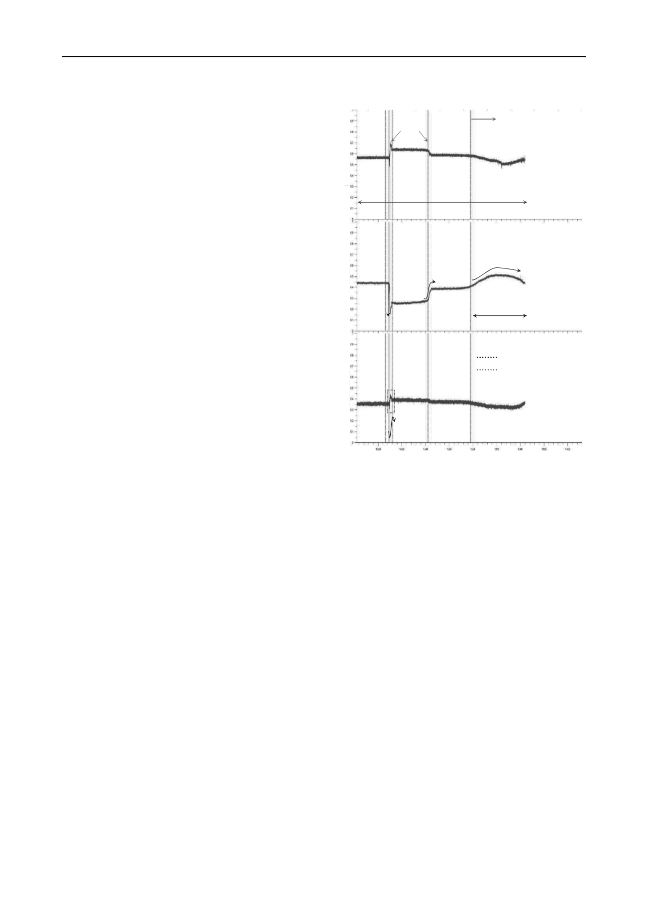
3.3 Characterization of Shear Zone Behavior with MEMS
In this section, we will demonstrate qualitative results from one
of the water flume tests set out to investigate how shear zone
liquefaction evolves in loose slope without any fines present.
MEMS accelerometer M8 situated right within the shear zone in
the rear middle of the soil mass was selected to illustrate the
landslide mechanism (see Fig. 6). The loose slope was saturated
by slow and little groundwater inflow at start, and a fixed
interval later a sudden rise of groundwater inflow twice the
original volume was first invoked at the bottom of the slope toe
(indicated by T1 in Fig. 6); minutes later the rear bottom (T2 in
Fig. 6). Both groundwater supply events are also indicated by
vertical black lines in Fig. 7.
There are in total 3 sliding events recorded and their
occurrence instances are punctuated by the vertical red lines in
Fig. 7. The groundwater supply T1 at the slope bottom induced
an abrupt liquefaction; inside the shear zone, Y axis of M8
registered a huge contraction and the Z-axis tracked a rotation
towards the back then a forward charging jerk. However, the
movement of the soil mass ceased as sudden as the initiation;
the basal porewater pressure transducer tells us that the
porewater pressure built up just then was dissipated. Although
by now the groundwater supply T2 at the rear bottom was
invoked, the soil mass did not exhibit any noticeable activity, a
stark contrast to the loose slope with fines experiment in which
complete fluidization occurred by the moment when T2 was
invoked. Subsequently what we observed was replenishment of
porewater pressure right before sliding event L2 happened and
stopped almost instantaneously again; however, this time Y axis
of M8 recorded a dilation instead. The porewater pressure
abated after L2 then was built up again and finally the whole
soil mass fluidized, initiating event L3. The movement was
slow; it took 23.9 seconds in total to slide out of the flume. The
activity inside shear zone as captured by M8 was a slow dilating
rotation, upward and forward as the soil slowly discharged out.
In short, the MEMS accelerometers demonstrated promising
results in describing the rich features of sliding events,
including local responses of soil movement in the shear zone,
e.g. contractions, dilations and the rolling components.
4 CONCLUSION
Two new sensing technologies (sensors) were successfully
utilized in this paper to reveal aging mechanisms and to monitor
local soil movement in a flow landslide event. Using the tactile
pressure sensor allows us to measure the contact forces among
soil particles and therefore is able to obtain experimental
evidence that can explain the underlying mechanisms of aging
effects. During aging the contact forces continue to be
redistributed. This ultimately leads to increasing contact normal
forces in the weak force network such that some of the contact
normal forces that originally belong to weak ones can be
changed to the group of strong forces. In addition, the force
distribution becomes more homogenized. As a result, the soil
structure is strengthened and so is the associated small-strain
shear modulus.
Because of its miniature size and high sensitivity, the
MEMS sensor is allowed to be buried in a laboratory slope to
characterize the features of soil movement inside the shear zone
during a flow landslide event, such as liquefaction, deceleration,
contraction and dilation. All of these observations complement
theoretical work and provides us insights into the initiation
mechanisms of a flow landslide.
5 ACKNOWLEDGEMENTS
This research was supported by the Hong Kong Research
Grants Council (GRF 621109 and 620310).
L2
L3
M8-X
T1 T2
L1
Slide & stop
Figure 7. Characterization of sliding features within shear zone in loose
slope without fines captured by MEMS accelerometer M8,
demonstrating a gradual failure mode.
6 REFERENCES
Feynman, R. 1959.
There’s plenty of room at the bottom
. URL:
Gao Y. 2012 Experimental characterizations and DEM simulations of
aging, creep and structuration in sand. Ph.D. Thesis. The Hong
Kong University of Science and Technology.
Gao Y. and Wang Y.H. 2012. Calibration of tactile pressure sensors for
measuring stresses in soils.
Tentatively
accepted by Geotech. Test.
J. ASTM
.
Gao Y. and Wang Y.H. 2013. The underlying mechanism of aging
effects on changing sand stiffness. Submitted to Canadian
Geotechnical Journal.
Gao Y., Wang Y.H., and Su J.C.P. 2013. Mechanisms of aging-induced
modulus changes in sand under isotropic and anisotropic loading.
J.
Geotech. Geoenviron. Eng.
(Accepted for publication,
).
Iverson, R.M., Reid, M.E., Iverson, N.R., LaHusen, R.G., Logan, M.,
Mann, J.E. and Brien, D.L. 2000. Acute sensitivity of landslide
rates to initial soil porosity.
Science
, 290:513-516.
Mitchell, J. K. and Soga, K. 2005.
Fundamentals of Soil Behavior
, 3rd
edition, John Wiley & Sons, Inc., New York.
Radjai, F., Jean, M., Moreau, J.J., and Roux, R. 1996. Force
Distributions in Dense Two-Dimensional Granular Systems.
Phys.
Rev. lett.
, 77(2), 274-277.
Schmertmann, J.H. (1991). The mechanical aging of soils.
J. Geotech.
Engrg., ASCE
, 117(9): 1286-1330.
Wang, G. and Sassa, K. (2003). Pore-pressure generation and movement
of rainfall-induced landslides: effects of grain size and fine-particle
content.
Eng. Geol.
, 69, 109-125.
Wang, Y.H. and Tsui, K.Y. 2009. Experimental characterization of
dynamic property changes in aged sands.
J. Geotech. Geoenviron.
Eng., ASCE
, 135(2), 259-270.
Time (seconds)
Onset of final fluidization
Acceleration (
g
)
Acceleration (
g
)
Acceleration (
g
)
Length of time: 72 s
M8-Y
Dilates then slides
out of flume
Dilates, stops,
then static
M8-Z
Abrupt Contraction
Roll back then
abruptly forward
Sliding time: 23.9 s
Water Supply Event (T)
Landslide Event (L)
1...,102,103,104,105,106,107,108,109,110,111 113,114,115,116,117,118,119,120,121,122,...840